新闻

首页 > 学术成信 > 正文

我校资源环境学院刘晨龙博士发表JCR一区文章报道化学链气化秸秆焦制取富氢合成气:Fe、Mn 与Ni形成的尖晶石载氧体之间的协同效应

来源:资源环境学院 作者:张梅凤  日期:2023-11-01  审核:李蕖  点击:

【本网讯】近期我校资源环境学院刘晨龙博士以第一单位云博体育,基于“碳中和,碳达峰”背景下,结合化学链技术。以生物质秸秆为原料,结合设计的Ni基尖晶石类的载氧体,将其转化为富氢的合成气。考察了反应参数、NiFe, Mn之间的相互作用等,并提出转化相应的反应机制。该论文题为“Hydrogen-rich syngas production from straw char by chemical looping gasification: The synergistic effect of Mn and Fe on Ni-based spinel structure as oxygen carrier”发表在能源类领域公认的期刊《Fuel(JCR一区,IF=7.4).

生物质化学链气化是一种利用载氧体中的晶格氧与生物质反应制备富氢合成气的新型技术,具有广阔的应用前景。载氧体可以利用不同反应器之间的氧化还原循环为生物质气化持续供氧。还原后的载氧体可以作为生物质焦油和半焦裂解的良好催化剂,提高气化效率。尖晶石结构(AB2O4)的氧载体在化学链气化中展现出良好的生物质制氢性能,并且通过过渡金属掺杂A、B位以此提高晶格氧的迁移、释放等特性。Ni基载氧体由于具有催化C-H健,C-C健从而对H2的产生表现出高的反应性,并且成本低,因此被广泛研究。然而,Ni基载氧体表面易发生碳沉积和烧结,而导致载氧体的失活。相反,Fe和Mn具有良好的抗积碳的能力,同时,对环境和人体健康的影响可以忽略不计。然而,Fe和Mn与Ni相比没有Ni具有较高的催化制氢效果。因此,实现协同作用的双金属载氧体是最有前途的候选者,对生物质化学链制备富氢合成气的发展具有重要的现实意义。

通过溶胶-凝胶法制备出的NiMn2O4与NiFe2O4载氧体,两者表面结构相似差别不大,各元素均匀分布没有出现烧结现象(如图1所示)。但是,反应后的NiMn2O4与NiFe2O4载氧体的结构有较大的差别。NiFe2O4载氧体表面呈现出致密,特别是Ni出现了烧结现象。然而,NiMn2O4载氧体表面则显现出疏松多孔,Ni元素依然均匀的分布(如图2所示),这有利于维持富氢合成气的产生。

图1反应前载氧体表面结构和元素分布(a) NiMn2O4(b) NiFe2O4

图2反应后载氧体表面结构和元素分布(a) NiMn2O4(b) NiFe2O4

NiMn2O4与NiFe2O4载氧体有着不同的反应路径(如图3所示)。当反应温度高于750℃时,NiMn2O4载氧体最终形成Ni+MnO的混合相,并以Ni附着在MnO表面的形式存在。同时,Ni晶体粒度随着反应温度提高,晶体粒度降低有利于表面对CO的吸附,提高CO的水汽变换反应增加H2的产生。而NiFe2O4载氧体反应温度高于700℃时,NiFe2O4载氧体最终形成Fe3O4+Ni3Fe混合相。由于Ni的氧化还原活性比Ni3Fe高,这就表明NiMn2O4载氧体具有较高的制氢活性。

图3载氧体反应后的晶相(a)NiMn2O4(b)NiFe2O4

¨:MnO;ª:Ni;©:(NiO)0.25(MnO)0.75;Ä:(NiO)0.75(MnO)0.25;Å:Fe3O4;Æ:Ni1.25Fe1.85O4;Ñ:Ni3Fe

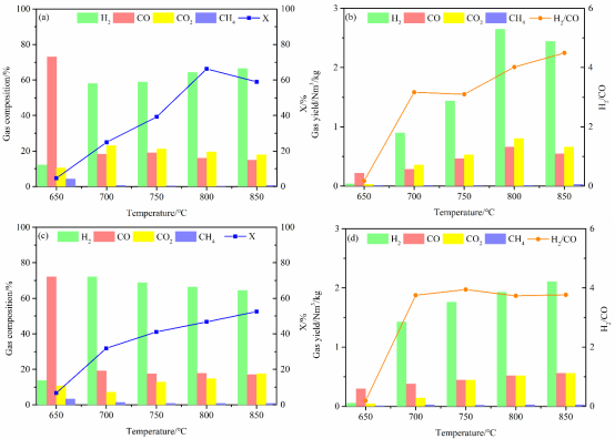
在较低的反应温度下,两种载氧体的制氢反应活性都不高,CO是主要的反应产物(如图4所示)。但是随着反应温度的升高,H2逐渐取代CO成为主要的产物。其中,NiMn2O4载氧体的制氢效果明显高于NiFe2O4载氧体。这表明反应路径、反应产物与结构的物理化学性质影响着H2的产生量。

图4不同反应温度条件的气体组成(a) NiMn2O4(b) NiFe2O4

Chenlong Liu,Dengke Chen,Qianlin Tang,Siddig Abuelgasim,Chenghua Xu,Jing Luo,Zhihua Zhao,Atif Abdalazeez

Volume 334, Part 2, 15 February 2023, 126803

https://doi.org/10.1016/j.fuel.2022.126803

上一条:我校教师应邀参加“海洋气象教育共同体”成立大会

下一条:【学术讲座预告】基于高分辨率地球系统模式研究气候变化对极端天气和大气污染的影响

关闭

航空港校区 |四川省成都市西南航空港经济开发区学府路一段24号 |邮编:610225 |电话:028-85966502

龙泉校区 |成都市龙泉驿区阳光城幸福路10号 |邮编:610103 |电话:028-84833333

版权所有 ©2021-2023  云博体育川公网安备 51012202000991号蜀ICP备05006389号-1CA230000000401795880001